Да кто такой этот ваш певатрон
Как физики ищут в небе источники петаэлектронвольтовых космических лучей

К середине XX века астрофизики поняли, что в нашей галактике есть мощные ускорители космических лучей — певатроны. Хотя что это за объекты: ударные волны остатков сверхновых, пульсары, области звездообразования или даже сверхмассивная черная дыра в центре Млечного Пути, можно было только предполагать. Понадобилось 30 лет, чтобы экспериментаторы догнали теоретиков и научились искать эти загадочные источники, — а потом еще столько же, чтобы наконец получить первые результаты. N + 1 разбирается, зачем певатроны нужно было придумать и почему теперь придется их перепридумать.
В июле 1054 года китайские астрономы заметили на восточном небе новую звезду — она засияла ярче Венеры и была видна больше трех недель. Тысячу лет спустя на месте этой вспышки находится Крабовидная туманность — остаток взрыва. В XXI веке этот объект снова оказался в центре внимания китайской обсерватории — LHAASO (Large High Altitude Air Shower Observatory).
Результат работы LHAASO — целый букет высокоэнергетических гамма-квантов: совсем недавно детекторы нашли 12 потенциальных певатронов внутри Млечного Пути, зарегистрировав 530 событий с энергиями гамма-квантов от 100 тераэлектронвольт до рекордных 1,4 петаэлектронвольта (1,4×1015 электронвольт). В июле 2021 года эти данные позволили признать, наконец, певатроном Крабовидную туманность.
Казалось бы, нужно радоваться — на случай «певатронности» Крабовидной туманности у теоретиков было готовое объяснение. Однако случилась неожиданность: певатрон в туманности экспериментаторы действительно нашли, но, кажется, не тот, который ожидали их коллеги.
Запертые в Галактике
Почти сто лет назад американский физик Роберт Милликен придумал термин «космические лучи». Так он назвал ионизирующее излучение с высокой проникающей способностью, которое наблюдал в земной атмосфере на высоте до 15 километров с помощью аэростатов с подвешенными на них приборами. С названием Милликен не прогадал — сегодня нет никаких сомнений в том, что это излучение приходит на Землю из космоса и заполняет не только окрестности нашей планеты, но и всю галактику.

Тем не менее, мы до сих пор не можем окончательно объяснить распределение этих лучей по энергии: для этого важно понимать, что влияет на распространение космических лучей во время их путешествия к Земле.
Наша галактика, как и все другие, обладает магнитным полем, поэтому заряженные частицы, из которых состоят космические лучи, движутся в ней не по прямой. Сила Лоренца искривляет траекторию частиц: галактика словно держит их на цепи и далеко не отпускает, постепенно разворачивая направление их движения и не давая улететь прочь.

У этой галактической хватки, конечно, есть предел — чтобы сбежать, частице надо хорошенько разогнаться. Оценить, сможет ли заряженная частица покинуть галактику, можно по характерному радиусу кривизны ее траектории. Он прямо пропорционален импульсу частицы и обратно пропорционален ее заряду и величине магнитного поля — то есть чем быстрее движется частица и чем слабее удерживает ее поле, тем больше вероятность сорваться с привязи, на которой ее удерживает галактика. Если у частицы небольшая энергия, то магнитное поле галактики (порядка микрогаусса) будет удерживать ее внутри галактического диска, толщина которого — сотни парсек. Высокоэнергетические частицы, у которых радиус кривизны траектории значительно превосходит эту толщину, будут беспрепятственно ее покидать.
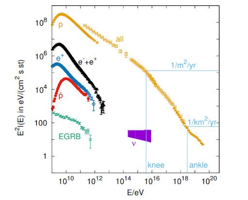
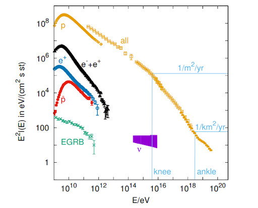
Оказывается, что энергетическая граница между свободой и несвободой слабозаряженных космических лучей находится в области петаэлектронвольта. Энергия всего одной такой частицы сопоставима с кинетической энергией капли дождя, число элементарных частиц в которой — порядка 1022. Для сравнения: энергии фотонов видимого света — единицы электронвольт, а на Большом адронном коллайдере пучки протонов разгоняют до энергий в 1012 электронвольт. Поэтому когда до Земли долетают космические лучи с энергией больше петаэлектронвольта, это с большой вероятностью беглецы из других галактик, а частицы меньших энергий (за редким и случайным исключением) путешествуют в пределах Млечного Пути.
Разницу между «местными» и «залетными» частицами увидели в конце пятидесятых годов советские физики: они обнаружили в спектре космических лучей излом в интервале между 1 и 10 петаэлектронвольт. При меньших энергиях график зависимости потока частиц от энергии более пологий, а при больших — более крутой. В профессиональной терминологии этот перегиб называют «коленом» — спектр космических лучей напоминает человеческую ногу.

На том же спектре видно, что до «колена», в диапазоне энергий порядка 1010—1015 электронвольт, график очень плавный. А значит, все эти частицы ускоряются и распространяются в одних и тех же условиях: крайне маловероятно, что спектр совершенно разных источников случайно склеился в гладкую кривую.
При этом большая часть этих частиц — с энергией намного меньше петаэлектронвольта — надежно заперта внутри нашей галактики магнитным полем. Поскольку все эти частицы — и те, которым не хватает энергии на побег из галактики, и те, которым хватает, — мы видим на одном гладком участке спектра, то источник у них должен быть общий. А раз среди них есть заведомо «невыездные» частицы, то и все остальныечастицы с этого графика должны были ускориться где-то в пределах Млечного Пути. Получается, что в нашей галактике есть певатроны — источники космических лучей предельной для внутригалактического фона энергии. Но что это такое? Какой объект может быть источником такого мощного излучения? И какая физика стоит за процессами, которые разгоняют частицы на порядки эффективнее рукотворных ускорителей?

С места в барьер
Попытки теоретически объяснить, как ускоряются космические лучи, появились еще за несколько лет до экспериментального обнаружения «колена». Уже в 1949 году Энрико Ферми опубликовал работу, в которой объяснял ускорение многократным взаимодействием частиц с магнитным неоднородностями, которые появляются в космосе из-за постоянного перемешивания плотных облаков вещества с разреженной фоновой средой.
Ферми сравнил этот механизм с чередой столкновений частицы с тяжелыми беспорядочно движущимися препятствиями, — что-то вроде галактического пинбола, когда при каждом столкновении частица в среднем получает прибавку к энергии пропорционально уже набранной. Поэтому, если сопутствующие потери малы по сравнению с приростом, частица будет набирать энергию экспоненциально с числом столкновений — до тех пор, пока не покинет область магнитных неоднородностей. Энергетический спектр же для всех частиц получается степенной — то есть их поток спадает с увеличением энергии как степенная функция, что отвечает наблюдениям.
Но в «модели пинбола» есть проблема инжекции: чтобы начать ускоряться по механизму Ферми, частице сначала надо разогнаться до энергий в диапазоне гигаэлектронвольт (иначе прироста энергии не будет из-за ионизации: частица будет тормозиться об атомы окружающего вещества, отрывать от них электроны и тратить на это энергию) — а четкого понимания, как происходит это первичное ускорение, не было. Особенное сомнение вызывали тяжелые ядра, которые к тому времени уже видели в составе космических лучей — для них энергия инжекции должна быть столь велика (сотни гигаэлектронвольт), что удачное ускорение в межзвездной среде, по словам самого Ферми, «не представляется вероятным».
