Новые школьные проекты: фармакология и терапия дислексии

Мы продолжаем знакомить наших читателей с работами школьников – учеников предпрофессиональных классов города Москвы, чьи работы обратили на себя внимание авторитетных специалистов.
Проект «Синтез липофильных диаминов в качестве потенциальных антибиопленочных агентов»
В октябре–феврале 2023/2024 учебного года ученик 10х(м) класса школы № 1329 г. Москвы Никита Антонов провел исследование, результаты которого могут быть полезны при создании новых более эффективных лекарственных препаратов.
Когда в 1929 году Александр Флеминг открыл свойства пенициллина, а затем создал первый антибиотик, это стало прорывом в медицине. Лечение бактериальных инфекций упростилось на порядок, и огромное количество жизней было спасено. Но дальнейшие отношения человечества с болезнетворными бактериями напоминают гонку вооружений. Бактерии быстро размножаются и, соответственно, быстро эволюционируют. Медики столкнулись с тем, что старые лекарства уже не действуют так хорошо, как раньше. Бактерии к ним приспособились и выработали сопротивляемость. Вот почему так важны исследования, позволяющие находить новые и новые способы борьбы с инфекцией.
Именно такого рода исследование провел десятиклассник Никита Антонов. Не захотев ограничиваться работой школьного уровня, пусть и для профильного химико-физического класса, он воспользовался возможностью участвовать в настоящем научном проекте. В качестве направления выбрал органическую химию, которую только начинают изучать в десятом классе, потому что освоение новой области всегда дает серьезный толчок к развитию. Его научная руководительница, сотрудница РТУ МИРЭА кандидат химических наук Перевощикова Ксения Андреевна, предложила ему поработать над темой, которой занималась сама, – изучением свойств полиаминов.

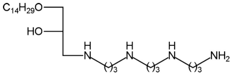
Напоминаем, что амины – это сложные органические соединения, содержащие азотную группу NH2. Если таких групп в соединении несколько, оно относится к полиаминам. Существовали неопубликованные данные, указывающие на то, что полиамины отрицательно влияют на жизнеспособность бактерий, разрушая их оболочку. Эти данные необходимо было проверить и уточнить. Участок работы, который взял на себя Никита, – изучение взаимодействия с бактериями диаминов – соединений с двумя азотными группами. Работа состояла из синтеза диаминов и проверки их воздействия на бактерии и бактериальные пленки в разных концентрациях.
Проектная деятельность была организована на базе детского технопарка «Альтаир», созданного Российским технологическим университетом (РТУ МИРЭА). Здесь имеется дорогое и сложное оборудование, которое едва ли может себе позволить даже самая лучшая школьная лаборатория. Можно было воочию увидеть процессы, с которыми обычно школьники знакомы лишь по учебникам.
Методика синтеза использовалась относительно новая, и некоторые условия приходилось подбирать по ходу дела самостоятельно. Например, чтобы реакция прошла успешно, на одной из стадий температуру пришлось сделать выше, чем это было указано в описанной методике. Структуру синтезированного вещества подтверждали с помощью ядерно-магнитного резонанса.